St
SUS 304
SUS 304N2
SUS 316
SUS 430
AL A1100P
AL A5052P
AL A6063P-T5
AL A7075PC
FRP 高級
FRP 中級
FRP 低級
合板
硬質エンビ
FRV
ハードボード
メラミン化粧板
フレキシブル石綿板
etc
E=
(Kg/cm
2
)
F=
(Kg/cm
2
)
I=
(cm
4
)
Z=
(cm
3
)
L=
(cm)
x=
(cm)
w=
(Kg/cm)
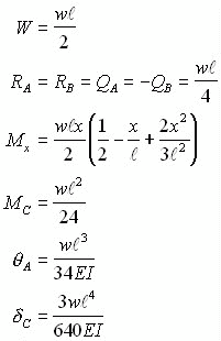
W=
(Kg)
Ra=
(Kg)
Rb=
(Kg)
Qa=
(Kg)
Qb=
(Kg)
Mc=
(Kg・cm)
Mx=
(Kg・cm)
θa=
δc=
(cm)
Mc/Z=
(Kg/cm
2
)
L/δc=