St
SUS 304
SUS 304N2
SUS 316
SUS 430
AL A1100P
AL A5052P
AL A6063P-T5
AL A7075PC
FRP 高級
FRP 中級
FRP 低級
合板
硬質エンビ
FRV
ハードボード
メラミン化粧板
フレキシブル石綿板
etc
E=
(N/cm
2
)
F=
(N/cm
2
)
I=
(cm
4
)
Z=
(cm
3
)
L=
(cm)
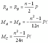
n=
P=
(N)
Ra=
(N)
Rb=
(N)
Ma=
(N・cm)
Mb=
(N・cm)
Mc=
(N・cm)
M/Z=
(N/cm
2
)